24416 알고리즘 수업 - 피보나치 수 1 - 브론즈1
https://www.acmicpc.net/problem/24416
24416번: 알고리즘 수업 - 피보나치 수 1
오늘도 서준이는 동적 프로그래밍 수업 조교를 하고 있다. 아빠가 수업한 내용을 학생들이 잘 이해했는지 문제를 통해서 확인해보자. 오늘은 n의 피보나치 수를 재귀호출과 동적 프로그래밍
www.acmicpc.net
- 그냥 하라는대로 따라가면 된다. 의사코드만 잘 구현하면 될듯
- dp가 재귀호출보다 성능이 좋다는 걸 알려주려는 듯 하다
- 한 번 구한 값을 재활용하는 dp와 달리 필요할 때마다 계속 값을 구해야하는 재귀호출이 훨씬 성능이 나쁜 것을 알 수 있음
풀이
class Main {
static int cnt1 = 0;
static int cnt2 = 0;
public static void main(String[] args) throws Exception {
BufferedReader br = new BufferedReader(new InputStreamReader(System.in));
int n = Integer.parseInt(br.readLine());
fib1(n);
fib2(n);
System.out.println("" + cnt1 + " " + cnt2);
}
private static int fib1(int n) {
if (n==1 || n ==2) {
cnt1++;
return 1;
} else {
return fib1(n-1) + fib1(n-2);
}
}
private static int fib2(int n) {
List<Integer> list = new ArrayList<>();
list.add(1);
list.add(1);
for (int i =2; i<n; i++) {
list.add(list.get(i-1) + list.get(i-2));
cnt2++;
}
return list.get(n-1);
}
}
- 그냥 문제 그대로 구현함
1010 다리 놓기 - 실버5
https://www.acmicpc.net/problem/1010
1010번: 다리 놓기
입력의 첫 줄에는 테스트 케이스의 개수 T가 주어진다. 그 다음 줄부터 각각의 테스트케이스에 대해 강의 서쪽과 동쪽에 있는 사이트의 개수 정수 N, M (0 < N ≤ M < 30)이 주어진다.
www.acmicpc.net
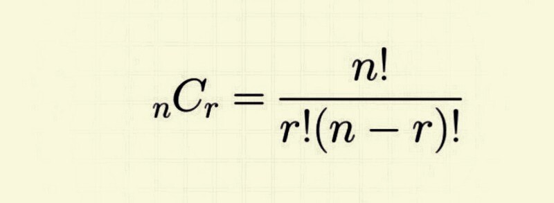
- 조합문제다 -> mCn
- 순서가 정해져있으니, m개 사이트 중 n개만 선택하면 됨
- 팩토리얼을 어떻게 잘 구할지 생각하면 될 것 같다
- 조합공식을 까먹어서 다음과 같은 방법으로 품
- 5C3 의 경우 5C2과 같음 -> 변경
- 5를 하나씩 줄여가며 2번 곱함 -> 5*4
- 2의 팩토리얼을 구함 -> 2!
- 5*4 에 2팩토리얼을 나눔
import java.io.BufferedReader;
import java.io.InputStreamReader;
import java.util.StringTokenizer;
class Main {
public static void main(String[] args) throws Exception {
BufferedReader br = new BufferedReader(new InputStreamReader(System.in));
int tcCnt = Integer.parseInt(br.readLine());
StringBuffer sb = new StringBuffer();
for (int t=0; t<tcCnt; t++) {
StringTokenizer st = new StringTokenizer(br.readLine());
int n = Integer.parseInt(st.nextToken());
int m = Integer.parseInt(st.nextToken());
if (m-n < n) //5C3 -> 5C2
n = m-n;
//n! 구하기
long nPac = 1;
for (int i=2; i<=n; i++)
nPac *= i;
long num = 1;
int tmp = m;
for (int i =0; i<n; i++) {
num *= tmp;
tmp--;
}
num = num/nPac;
sb.append(num); sb.append("\n");
}
System.out.println(sb);
}
}
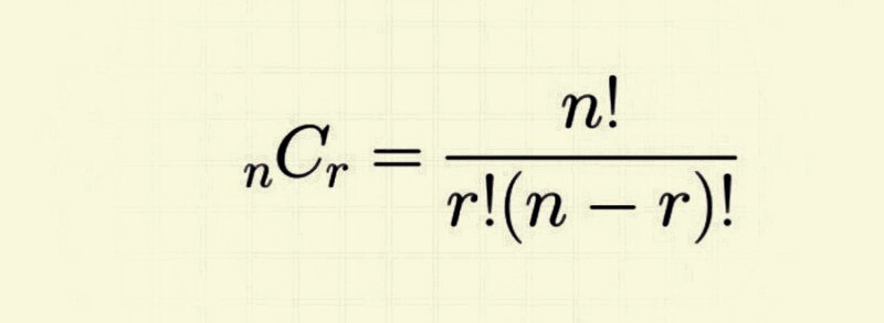
- 사람이 풀기 쉬운 방법으로 풀었다 (고등학교 때 이렇게 풀었음)
- 하지만 이쁜 조합공식이라는 게 있다

- 이렇게 푸는게 훨씬 깔끔할 것 같다
- n, r, n-r의 최댓값을 구하여 팩토리얼 값을 구하고
- 각각 필요한 팩토리얼 값을 꺼내와서 사용하면 될듯
9625 BABBA - 실버5
https://www.acmicpc.net/problem/9625
9625번: BABBA
상근이는 길을 걷다가 신기한 기계를 발견했다. 기계는 매우 매우 큰 화면과 버튼 하나로 이루어져 있다. 기계를 발견했을 때, 화면에는 A만 표시되어져 있었다. 버튼을 누르니 글자가 B로 변했
www.acmicpc.net
- 처음 A일 때부터 개수를 하나씩 세야할 것 같다
- A는 B로 바뀌고, B는 BA로 바뀌므로
- A의 개수는 이전값의 B의 개수
- B의 개수는 이전값의 A의 개수+B의 개수
- 이렇게 구하면 될 듯
풀이
class Main {
public static void main(String[] args) throws Exception {
BufferedReader br = new BufferedReader(new InputStreamReader(System.in));
int cnt = Integer.parseInt(br.readLine());
int aCnt = 1;
int bCnt = 0;
while (cnt != 0) {
int tmpBCnt = bCnt;
bCnt = aCnt + bCnt;
aCnt = tmpBCnt;
cnt--;
}
System.out.println("" + aCnt + " " + bCnt);
}
}
2491 수열 - 실버4
https://www.acmicpc.net/problem/2491
2491번: 수열
0에서부터 9까지의 숫자로 이루어진 N개의 숫자가 나열된 수열이 있다. 그 수열 안에서 연속해서 커지거나(같은 것 포함), 혹은 연속해서 작아지는(같은 것 포함) 수열 중 가장 길이가 긴 것을 찾
www.acmicpc.net
- 그냥 삭 돌면서 증가, 감소하는 구간 길이를 세면 될 것 같음
class Main {
public static void main(String[] args) throws Exception {
BufferedReader br = new BufferedReader(new InputStreamReader(System.in));
int len = Integer.parseInt(br.readLine());
StringTokenizer st = new StringTokenizer(br.readLine());
int[] arr = new int[len];
for(int i=0; i<len; i++)
arr[i] = Integer.parseInt(st.nextToken());
int max = 0;
int cntAsc = 1;
int cntDsc = 1;
for(int i=1; i<len; i++) {
if (arr[i-1] <= arr[i])
cntAsc++;
else {
if (cntAsc > max)
max = cntAsc;
cntAsc = 1;
}
if (arr[i-1] >= arr[i])
cntDsc++;
else {
if (cntDsc > max)
max = cntDsc;
cntDsc = 1;
}
}
if (cntAsc > max)
max = cntAsc;
if (cntDsc > max)
max = cntDsc;
System.out.println(max);
}
}
- 증가한 길이를 저장하는 cntAsc와 감소한 길이를 저장하는 cntDsc를 만든다
- 배열을 한바퀴 돌면서 증가분과 감소분 길이를 잰다
- 만약 이전 값이 지금 값보다 작거나 같으면 cntAsc를 하나 증가시켜준다
- 만약 이전 값이 지금 값보다 크면 지금까지 센 cntAsc과 max값을 비교하여 max를 갱신시켜주고, cntAsc를 1로 초기화한다 (나부터 세니까 1이 초기화임)
- 감소분 길이도 위와같이 구한다
- for문이 끝나고도 cntAsc와 cntDsc를 max값과 비교하여 크면 갱신해준다 (이거 안해줘서 틀림 ㅜㅜ)
dp라고 해서 엄청 긴장했는데 그냥 작은 문제로 큰 문제를 구할 수 있으면 모두 다이나믹 프로그래밍인가보다.
그렇게 어렵지 않아서 다행이다! (골드 이상으로 가면 더 어려울 것 같긴하다)
'알고리즘 > 백준' 카테고리의 다른 글
| [JAVA] 백준 data structures - 실버모음(2161, 1158, 2346, 1927) (0) | 2023.10.06 |
|---|---|
| [JAVA] 백준 data structures - 브론즈모음(2605, 12605) (0) | 2023.10.06 |
| [JAVA] 백준 dp - 브론즈모음(2748 피보나치 수 2, 2775 부녀회장이 될테야, 17202 핸드폰 번호 궁합) (1) | 2023.10.04 |
| [JAVA] 백준 이진탐색 - 골드모음(2467 용액, 2866 문자열 잘라내기, 8983 사냥꾼) (0) | 2023.10.04 |
| [JAVA] 백준 이진탐색 - 실버모음3(2512 예산, 2343 기타 레슨, 2792 보석 상자) (0) | 2023.10.03 |