알고리즘/백준
[JAVA] 백준 이진탐색 - 실버모음(10815 숫자 카드, 10816 숫자 카드2, 1072 게임)
fladi
2023. 10. 1. 14:17
728x90
정렬관련 골드 문제를 풀다 이진탐색을 구현하는 연습이 부족하다는 걸 느꼈다. (start와 end 인덱스를 어디를 잡아야할 지 헷갈렸음)
그래서 이번 기회에 이진탐색 문제 몇 개를 풀어보려고 한다! 공부할 수록 공부해야할 게 늘어나는 것 같다 ㅎㅎ
이진탐색이란?
- 리스트를 두 부분으로 나눠 필요한 부분에서만 탐색하도록 제한하여 원소를 찾는 방법이다
- ex) [ 1 2 3 4 5 6 7 8 9 ] 와 같이 오름차순으로 정렬된 리스트가 있고 3을 찾아야한다
- 일단 1~9번째 원소의 중간인 5를 본다
- 5는 3보다 크니 탐색범위를 1~4로 줄인다
- 1~4번째 원소의 중간인 2를 본다
- 2는 3보다 작으니 탐색범위를 3~4로 줄인다
- .. 이 과정을 반복하여 3을 찾아냄
- 이진탐색을 위해서는 정렬이 필수적이며, 평균적으로 순차탐색보다 훨씬 빠르게 원하는 원소를 찾을 수 있다
- 관련 컬렉션: Arrays.binarySearch()
10815 숫자 카드 - 실버5
https://www.acmicpc.net/problem/10815
10815번: 숫자 카드
첫째 줄에 상근이가 가지고 있는 숫자 카드의 개수 N(1 ≤ N ≤ 500,000)이 주어진다. 둘째 줄에는 숫자 카드에 적혀있는 정수가 주어진다. 숫자 카드에 적혀있는 수는 -10,000,000보다 크거나 같고, 10,
www.acmicpc.net
- 많은 숫자들 중 하나의 숫자가 존재하는 지 확인하는 문제이다
- 딱 봐도 이진탐색으로 풀지 않으면 시간초과가 날 것 같음
풀이법 생각
- 숫자 카드를 오름차순 정렬한다
- 찾아야하는 모든 숫자에 대해 이진탐색을 한 후 해당하는 값이 있으면 1, 없으면 0을 출력
class Main {
public static void main(String[] args) throws Exception {
BufferedReader br = new BufferedReader(new InputStreamReader(System.in));
int cardCnt = Integer.parseInt(br.readLine());
int[] card = new int[cardCnt];
StringTokenizer st = new StringTokenizer(br.readLine());
for (int i = 0; i < cardCnt; i++)
card[i] = Integer.parseInt(st.nextToken());
int myCnt = Integer.parseInt(br.readLine());
int[] my = new int[myCnt];
st = new StringTokenizer(br.readLine());
for (int i = 0; i < myCnt; i++)
my[i] = Integer.parseInt(st.nextToken());
//오름차순 정렬
Arrays.sort(card);
StringBuffer sb = new StringBuffer();
for (int num: my) {
boolean isExist = isExists(num, card);
sb.append(isExist?1:0); sb.append(" ");
}
System.out.println(sb);
}
private static boolean isExists(int num, int[] card) {
int start = 0;
int end = card.length;
while (start < end) {
int mid = (start + end)/2;
if (card[mid] == num)
return true;
if (card[mid] > num)
end = mid;
else
start = mid+1;
}
return false;
}
}
- 정말 전형적인 이진탐색 문제인듯
- 활용은 전혀 없었따
10816 숫자 카드 2 - 실버4
https://www.acmicpc.net/problem/10816
10816번: 숫자 카드 2
첫째 줄에 상근이가 가지고 있는 숫자 카드의 개수 N(1 ≤ N ≤ 500,000)이 주어진다. 둘째 줄에는 숫자 카드에 적혀있는 정수가 주어진다. 숫자 카드에 적혀있는 수는 -10,000,000보다 크거나 같고, 10,0
www.acmicpc.net
- 이번엔 조금 활용버전이다
- 수가 적힌 숫자카드를 찾아내는 것 + 몇 장인지 구하는 것
첫 번째 생각한 풀이 - 이진탐색(시간초과)
- 일단 이진탐색으로 하나 찾아낸 후, 양쪽으로 가면서 같은 수가 몇 개 있는지 세면 될 것 같다
- 결말은 시간초과
두 번째 생각한 풀이 - 해시
- 해시를 사용해보려고 한다
- 숫자를 key값으로, 숫자의 빈도수를 value값으로 저장하여 빠르게 찾아볼 생각이다
class Main {
public static void main(String[] args) throws Exception {
BufferedReader br = new BufferedReader(new InputStreamReader(System.in));
int cardCnt = Integer.parseInt(br.readLine());
Map<Integer, Integer> map = new HashMap<>();
StringTokenizer st = new StringTokenizer(br.readLine());
for (int i = 0; i < cardCnt; i++) {
int tmp = Integer.parseInt(st.nextToken());
map.put(tmp, map.getOrDefault(tmp, 0) + 1);
}
int myCnt = Integer.parseInt(br.readLine());
int[] my = new int[myCnt];
st = new StringTokenizer(br.readLine());
for (int i = 0; i < myCnt; i++)
my[i] = Integer.parseInt(st.nextToken());
StringBuffer sb = new StringBuffer();
for (int num: my) {
int cntNum = 0;
if (map.get(num) != null)
cntNum = map.get(num);
sb.append(cntNum); sb.append(" ");
}
System.out.println(sb);
}
}
- 이진탐색으로 풀어야한다는 생각에 해시를 생각하지 못했다
- 10 10 10 10 10 10 10 10 ... 이런 경우 이진탐색이 그렇게 도움이 되지 않으므로, 그냥 해시를 쓰는 게 맞는 것 같음
+) 찾아본 다른 풀이
- 이진탐색으로 풀 수 있는 방법이다
- 다음 블로그를 참고하였다: https://st-lab.tistory.com/267
- 찾고자 하는 값의 가장 작은 인덱스를 찾는다 (lower_bound)
- 찾고자 하는 값의 가장 큰 인덱스를 찾는다 (upper_bound)
- 둘의 차이를 구하여 같은 수의 개수를 센다
1072 게임 - 실버3
https://www.acmicpc.net/problem/1072
1072번: 게임
김형택은 지금 몰래 Spider Solitaire(스파이더 카드놀이)를 하고 있다. 형택이는 이 게임을 이길 때도 있었지만, 질 때도 있었다. 누군가의 시선이 느껴진 형택이는 게임을 중단하고 코딩을 하기 시
www.acmicpc.net
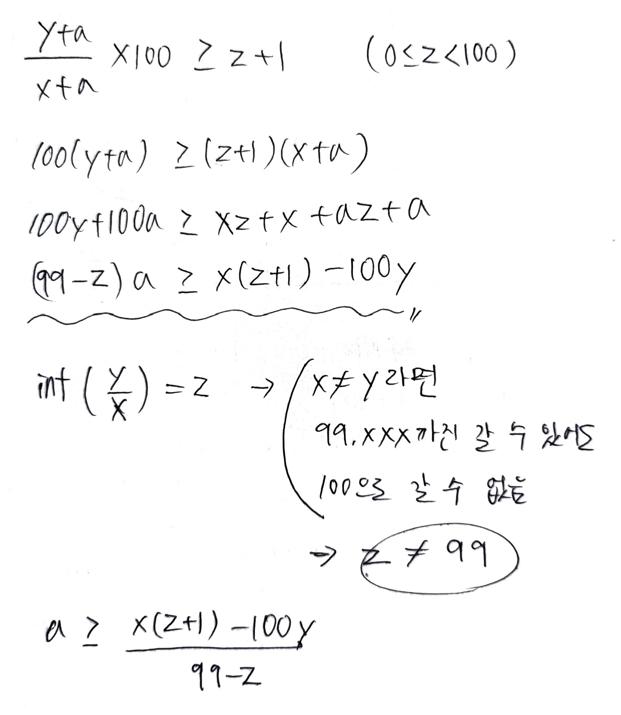
풀이법 생각

- a는 추가로 이긴 횟수이다
- z에서 z+1로 될 때의 a의 값은 다음과 같은 식을 세워서 풀 수 있다

- z가 변하지 않는 경우는 다음과 같다. (z==100 || z==99)
- x와 y가 같다면 100에서 절대 변하지 않는다
- x와 y의 비율이 99라면 변하지 않는다. 99.xxx까진 갈 수 있어도 100으로는 절대 못간다
- z+1일 때의 a값은 소수점이 있을 확률이 높으니, Math.ceil을 사용하여 a의 최소 정수값을 구한다
class Main {
public static void main(String[] args) throws Exception {
BufferedReader br = new BufferedReader(new InputStreamReader(System.in));
StringTokenizer st= new StringTokenizer(br.readLine());
long allCnt = Integer.parseInt(st.nextToken());
long winCnt = Integer.parseInt(st.nextToken());
long z = winCnt*100/allCnt;
if (z == 100 || z == 99) {
System.out.println(-1);
return;
}
double tmp = (double)((z+1)*allCnt - 100*winCnt)/(99-z);
int a = (int)Math.ceil(tmp);
System.out.println(a);
}
}
728x90